2015年二级建造师市政实务预习:场区控制测量特
|
2015年二级建造师《市政工程管理与实务》预习计划:第十六阶段 生活垃圾填埋场填埋区防渗层施工技术: 泥质防水层施工、 土工合成材料膨润土垫(GCL) 施工、 聚乙烯(HDPE) 膜防渗层施工技术 生活垃圾填埋场填埋区导排系统施工技术: 卵石粒料的运送和布料、 摊铺导排层、收集渠码砌、 HDPE渗沥液收集花管连接、 生活垃圾导排系统施工控制要点 垃圾填埋与环境保护技术: 垃圾填埋场选址与环境保护、 垃圾填埋场建设与环境保护 施工测量主要内容与常用仪器: 施工测量的基本概念、 常用仪器及测量方法 场区控制测量: 场区控制测量特点与规定、 场(厂)区平面控制网、 场区高程控制网 竣工图编绘与实测: 竣工图编绘、 编绘竣工图的方法和步骤 栽植基础工程: 栽植前土壤处理、 重盐碱、重黏土地土壤改良、 设施顶面栽植基层工程、 坡面绿化防护栽植基层工程、 水湿生植物栽植槽工程 |
(1)市政公用工程现场可分为场区、沿线两种形式,施工控制测量应依据工程特点和实际需要,在施工现场范围内建立测量控制网,选择若干有控制意义的点(称为控制点),按一定的规律和要求构成网状几何图形(称为控制网)。控制网分为平面控制网和高程控制网,场区控制网按类型分为方格网、边角网和控制导线等。
(2)设定场区控制点位置的工作,称为场区控制测量。测定场区控制点平面位置(X、Y)的工作,称为场区平面控制测量,测定场区控制点高程(H)的工作,称为场区高程控制测量。
(3)在设计总平面图上,场区的平面位置系用施工坐标系统的坐标来表示。坐标轴的方向与场区主轴线的方向相平行,坐标原点应虚设在总平面图西南角上,使所有构筑物坐标皆为正值。施工坐标系统与测量坐标系统之间关系的数据由设计给出。有的场(厂)区建筑物因受地形限制,不同区域建筑物的轴线方向不相同,因而要布设相应区域的不同施工坐标系统。
测量坐标系统,系平面直角坐标。一般有国家坐标系统、城市坐标系统等。若总平面图上设计是采用测量坐标系统进行的,则测量坐标系统即为施工坐标系统。
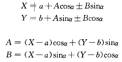
(4)当施工控制网与测量控制网发生联系时,应进行坐标换算,以便统一坐标系;如图1K416022-1所示,两坐标系的旋向相同,设A为施工坐标系(AO'B)的纵轴OA在测量坐标系(XOY)内的方位角,坐标系原点O'在测量系内的坐标值,则P点在两坐标系统内的坐标X ,Y 和A ,B 的关系式为:









