监理工程师合同管理第八章常见问题(7)
《施工合同条件》中工程师如何进行工程进度款的支付管理?
(1)工程量计量。每次支付工程月进度款前,均需通过测量来核实实际完成的工程量,以计量值作为支付依据。
(2)承包商提供报表。每个月的月末,承包商应按工程师规定的格式提交一式6份本月支付报表。内容包括提出本月已完成合格工程的应付款要求和对应扣款的确认,一般包括以下7个方面的内容:
1)本月完成的工程量清单中工程项目及其他项目的应付金额(包括变更)。
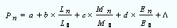
2)法规变化引起的调整应增加和减扣的任何款额。对于施工期较长的合同,为了合理分担市场价格浮动变化对施工成本影响的风险,在合同内要约定调价的方法。通用条件内规定为公式法
![]()
调价,调价公式为?(此处为思考题)
属于非承包商应负责原因的延误,工程实际竣工前每一次支付工程进度款时,调价公式继续有效;若因承包商应负责原因的延误,在应竣工日后支付进度款时,则应分别计算应竣工日和实际支付日的调价款,经过对比后按照对业主有利的原则执行。
3)作为保留金扣减的任何款额。从首次支付工程进度款开始,用该月承包商完成合格工程应得款加上因后续法规政策变化的调整和市场价格浮动变化的调价款为基数,乘以合同约定保留金的百分比作为本次支付时应扣留的保留金。逐月累计扣到合同约定的保留金最高限额为止。
扣留承包商的保留金分两次返还:颁发了整个工程的接收证书时,将保留金的一半支付给承包商;保修期满颁发履约证书后将剩余保留金返还。
当保留金已累计扣留到保留金限额的60%时,为了使承包商有较充裕的流动资金用于工程施工,可以允许承包商提交保留金保函代换保留金。业主返还保留金限额的50%,剩余部分待颁发履约证书后再返还。保函金额在颁发接收证书后不递减。
4)预付款的支付(分期支付的预付款)和扣还应增加和减扣的任何款额。合同工程是否有预付款,以及预付款的金额多少、支付(分期支付的次数及时间)和扣还方式等均要在专用条款内约定。通用条件内针对预付款金额不少于合同价22%的情况规定的管理程序为:
a.动员预付款的支付。预付款的数额由承包商在投标书内确认。承包商需首先将银行出具的履约保函和预付款保函交给业主并通知工程师,工程师在21天内签发“预付款支付证书”,业主按合同约定的数额和外币比例支付预付款。预付款保函金额始终保持与预付款等额,即随着承包商对预付款的偿还逐渐递减保函金额。
b.偿还预付款的开始时间。自承包商获得工程进度款累计总额(不包括预付款的支付和保留金的扣减)达到合同总价(减去暂列金额)10%那个月起扣。即
c.每次支付时的扣减额度。本月证书中承包商应获得的合同款额(不包括预付款及保留金的扣减)中扣除25%作为预付款的偿还,直至还清全部预付款。即:
每次扣还金额=(本次支付证书中承包商应获得的款额-本次应扣的保留金)×25%
5)承包商采购用于永久工程的设备和材料应预付和扣减款额。通用条件的条款规定,为了帮助承包商解决订购大宗主要材料和设备所占用资金的周转,订购物资经工程师确认合格后,按发票价值80%作为材料预付的款额,包括在当月应支付的工程进度款内。
a.承包商申请支付材料预付款。工程材料的采购满足以下条件后,承包商可向工程师提交预付材料款的支付清单:材料的质量和储存条件符合技术条款的要求;材料已到达工地并经承包商和工程师共同验点入库;承包商按要求提交了订货单、收据价格证明文件(包括运至现场的费用)。
b.工程师核查提交的证明材料。预付款金额为经工程师审核后实际材料价乘以合同约定的百分比,包括在月进度付款签证中。
c.预付材料款的扣还。当已预付款项的材料或设备用于永久工程,构成永久工程合同价格的一部分后,在计量工程量的承包商应得款内扣除预付的款项,扣除金额与预付金额的计算方法相同。
6)根据合同或其他规定(包括索赔、争端裁决和仲裁),应付的任何其他应增加和扣减的款额。
7)对所有以前的支付证书中证明的款额的扣除或减少(对已付款支付证书的修正)。
(3)工程师签证。工程师接到报表后,对承包商完成的工程形象、项目、质量数量以及各项价款的计算进行核查。若有疑问时,可要求承包商共同复核工程量。在收到承包商的支付报表的28天内,按核查结果以及总价承包分解表中核实的实际完成情况签发支付证书。工程师可以不签发证书或扣减承包商报表中部分金额的情况包括:
1)合同内约定有工程师签证的最小金额时,本月应签发的金额小于签证的最小金额,工程师不出具月进度款的支付证书。本月应付款接转下月,超过最小签证金额后一并支付。
2)承包商提供的货物或施工的工程不符合合同要求,可扣发修正或重置相应的费用,直至修整或重置工作完成后再支付;
3)承包商未能按合同规定进行工作或履行义务,并且工程师已经通知了承包商,则可以扣留该工作或义务的价值,直至工作或义务履行为止。
工程进度款支付证书属于临时支付证书,工程师有权对以前签发过的证书中发现的错、漏或重复提出更改或修正,承包商也有权提出,经双方复核同意后,将增加或扣减的金额纳入本次签证中。
(4)业主支付。承包商的报表经过工程师认可并签发工程进度款的支付证书后,业主应在接到证书后及时给承包商付款。业主的付款时间不应超过工程师收到承包商的月进度付款申请单后的56天。如果逾期支付将承担延期付款的违约责任,延期付款的利息按银行贷款利率加3%计算。






